一、cefr是什么電纜?
船用電纜又稱船用電力電纜,用于船舶及海上石油平臺等水上建筑的電力、照明和一般控制使用的電線電纜;CEFR/DA 乙丙絕緣氯丁護套船用電力軟電纜,DA型,連接移動電器用。80的固定敷設,用于防干擾場所,90的固定敷設,用電防機械外力作用場合。
cefr阻燃橡皮船用電力電纜,額定電壓0.6/1kv;船用橡套電纜按燃燒特性分:cefar/sa電纜符合成束燃燒試驗要求,cefr/da電纜符合單根垂直燃燒實驗要求;船用電纜型號含義:cefr/sa船用電纜,其中:ce代表乙丙橡皮絕緣船用電纜,f代表氯丁護套;R為軟電纜;

cefr船用橡套電纜結構圖
二、cefr船用電纜是什么意思?
船用電纜的種類和符號含義:
J——交膠聚乙烯
S——硅橡膠
X——天然丁苯橡膠
V——聚氯乙烯
F——氯丁a橡膠
H——氯磺聚乙烯
3——細鋼絲
8——鋼絲編織
9——鋼絲編織
3——聚乙烯
M——水密式
S——成束燃燒
N——耐火
A——有煙、有酸、有毒
B——低煙、低酸、低毒
C——無囟、低煙、低毒
舉例:①CEF-82/DAC-船用電纜E-丙絕緣F氯丁內護套8-銅絲編織2-聚氯乙烯外護套DA-燃燒特性DA型。
②乙丙橡皮絕緣 氯丁護套船用軟電力電纜 額定電壓為0.6/1Kv 三芯35mm2燃燒特性為DA型,表示為:CEFR-DA-0.6/13╳35GB9331-88

三、cefr電纜型號規格
1、cefr電纜型號規格表

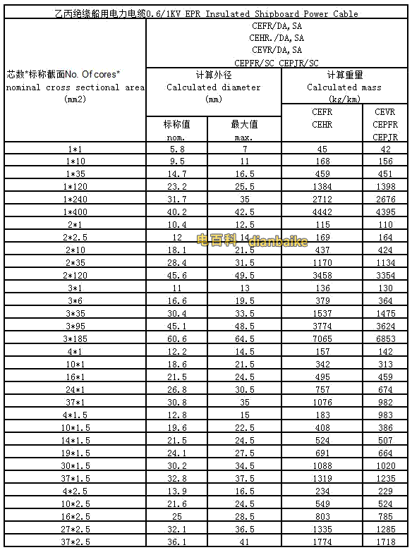
2、cefr電纜型號與尺寸對照表及cefr電纜技術參數

四、、cefr電纜有什么優點
1、電纜長期允許工作溫度為85℃,額定電壓Uo/U 為0.6/1kv。
2、敷設時電纜最小彎曲半徑如下:金屬屏蔽鎧裝型為電纜外徑的6倍。非鎧裝型,外徑小于等于25mm時為電纜外徑的4倍,大于25mm為電纜外徑的6倍。
3、良好的耐油性、耐磨性、耐寒性以及耐候性,強度抗拉、抗撕裂性能穩定。
4、扁電纜線芯一字排列/梅花型排列大程度控制了扁電纜的寬度和厚度,電纜可多根捆綁使用為敷設安裝提供方便。
5、隨設備連續運作不斷芯、不裂皮,可在-20℃低溫下仍然保持柔軟。
6、扁電纜具有抗氣候變化的特性,可在惡劣的環境條件下保證設備的正常工作。
7、可設計定制耐酸堿鹽霧腐蝕系列,可加鋼絲增加使用安全與長距使用。
五、cefr電纜國家標準
船用電力電纜的執行標準:IEC60092-350,IEC60092-353或GB/T9331-2008 船舶電氣裝置 額定電壓1kV和3kV擠包絕緣非徑向電場單芯和多芯電力電纜;更多關于CEFR船用橡套電纜知識請關注電百科,盜載必究。
