
電纜價格表是根據銅價上下浮動的,一般都是以電纜廠當天報價為準;建筑工程都需要做造價預算的所以要找電纜廠合作報價,下面就來介紹下最新電纜價格表、最新電線電纜線價格表查詢及電線電纜價格走勢圖。
一、電纜價格表
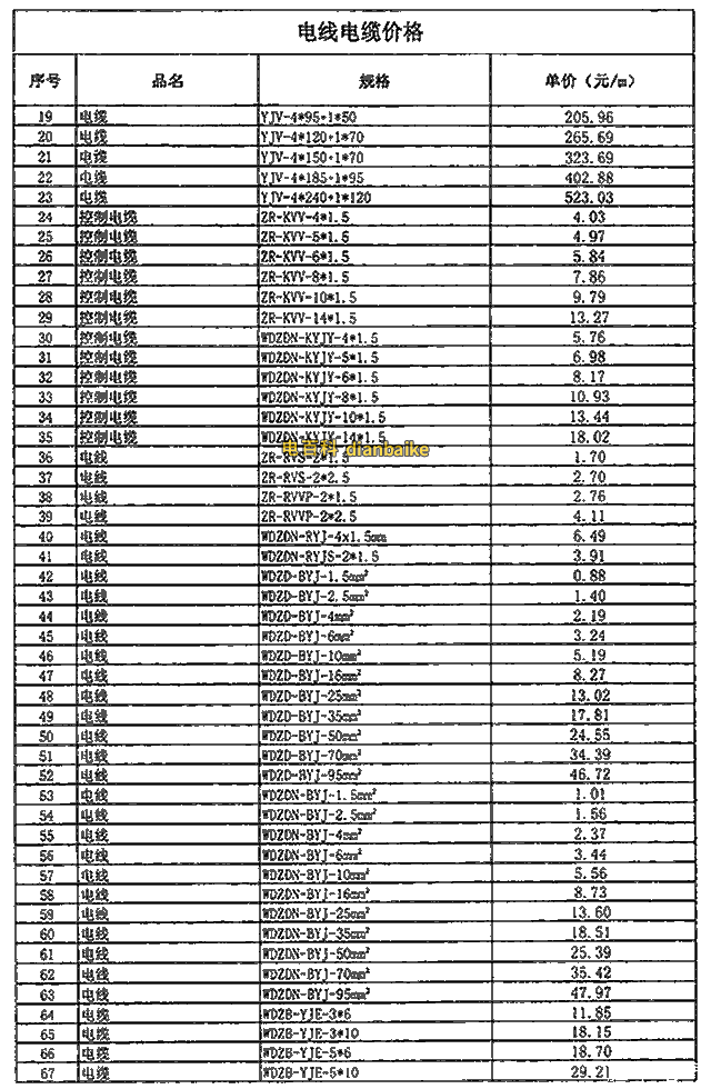
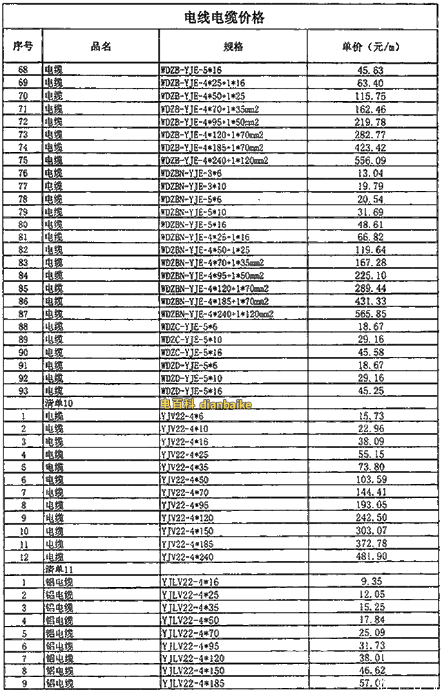
最新電線電纜線價格表如下,以下數據市場收集僅供參考,不作為交易憑證;




最新的電纜價格可以找電纜廠報價,因每個電纜廠成本工藝和利潤不一樣,所以盡量選擇適合本項目的電纜廠購買,不一定價格高或者便宜就是最好的,要選擇性價比高,誠信好能讓工程順利完工的才好。所以根據勝華電氣這么多年電纜行業生產銷售經驗,單單從價格上對比如果后續服務跟不上,最終造成工程不能順利完工等,后果也是比較麻煩。
二、電線電纜價格計算方法
1.YJV銅芯電力電纜系列價格公式如下:
銅的重量X銅價計算:絲經÷2=1.25X1.25X3.14=平方數X絲的根數X0.89X當時銅價+10%的加工費。
2.橡套電纜的成本價格計算
平方X1.83=銅的重量X當時的銅價+橡膠的價格(重量X0.4元/斤)=成本價格+10%的加工費
電纜的價格=制造材料成本+固定費用+稅收+業務費+利潤
制造材料成本=材料成本*(1+材料消耗)(材料成本即為理論計算出來的值)
比重:銅-8.89;銀-10.50;鋁-2.70;鋅-7.05;鎳-8.90;錫 -7.30;鋼-7.80;鉛-11.40;鋁箔麥拉-1.80;紙-1.35;麥拉-1.37 PVC-1.45;LDPE- 0.92;HDPE-0.96;PEF(發泡)-0.65;FRPE-1.7;Teflon(FEP)2.2;Nylon-0.97;PP- 0.97;PU-1.21 棉布帶-0.55;PP繩-0.55;棉紗線-0.48
更多關于電纜線價格問題請關注電百科,盜載必究。
